LES MODULATIONS NUMÉRIQUES



1. Famille des modulations numériques

Les signaux intelligents sont de types numériques ‘data’. Elles peuvent être analogiques à l’origine audio ou vidéo numérisées ou bien des données numériques à l'origine produites par des ordinateurs. Dans tous les cas la porteuse de ces signaux est analogique sinusoïdale. Les modulations considérées dans cet exposé sont :
  • Modulations m-PSK ou modulation à déplacement de phase à m-nivaux 'm-level Phase Shift Keying';
  • Modulation m-QAM ou modulation d'amplitude en quadrature à m-nivaux 'm-level Quadruture amplitude modulation'.
2. Les paramètres de mesure : A fin de quantifier la performance d'un canal employant une modulation numérique il est nécessaire de voir la définition des paramètres suivants :
  • Rapport (Eb / N0) mesuré en dB : Eb est l'énergie moyenne par bit mesurée en dBm et N0 c'est le bruit moyen en dBm aussi ;
  • Taux d'erreur bit ou BER 'Bit Error Rate' : C'est le rapport du nombre des bits en erreur sur le nombre total des bits transmis;
  • Le rapport D/BW ou η est l’efficacité de l’utilisation de la bande passante vis-à-vis le débit binaire. Par exemple une modulation utilisant une bande passante BW = 1 kHz pour transmettre D = 1 kbits / sec a une efficacité d’utilisation égale à 1 (bit/sec) par Hz. Ce rapport est nommé parfois l’efficacité spectrale de la modulation. η est lié au niveau de modulation m, η = log2m.
3. Modulation BPSK ou 2-PSK : C'est le premier niveau de modulation. La figure ci-dessous nous montre la table de vérité de la modulation BPSK ainsi que son diagramme de constellation.
BPSK :table de vérité et diagramme de constellation
3.1 Production du BPSK : Le modulateur balancé est au coeur du modulateur BPSK tel que montré par la figure ci-dessous.

BPSK et modulateur balancé
le rapport η = 1 avec un rapport Eb / N0 = 12 dB pour un BER ≤10-8.

4. Modulation QPSK ou 4-PSK :

La figure suivante nous montre la table de vérité de la modulation QPSK ainsi que son diagramme de constellation. Note : Cette technique est parfois nommée 4-QAM.
QPSK :table de vérité et diagramme de constellation

4.1 Production du QPSK :La figure suivante nous donne le schéma bloc employé afin de produire un signal QPSK.

Schéma bloc du modulateur QPSK

le rapport η = 2 avec un rapport Eb / N0 = 12 dB pour un BER ≤10-8.

5- Modulation 8-PSK :

La figure suivante nous montre la table de vérité de la modulation 8-PSK ainsi que son diagramme de constellation.
8-PSK :table de vérité et diagramme de constellation

le rapport η = 3 avec un rapport Eb / N0 = 15.5 dB pour un BER ≤10-8. La figure suivante compare le BER des 4 différents niveaux de la modulation PSK. Notez que pour 16-PSK Eb / N0 = 20 dB pour un BER ≤10-8.
Comparaison du BER m-PSK

6- Modulation 8-QAM :

La figure ci-dessous montre la table de vérité de la modulation 8-QAM ainsi que son diagramme de constellation.
8-QAM :table de vérité et diagramme de constellation

le rapport η = 3 avec un rapport Eb / N0 = 15 dB pour un BER ≤10-8.
Comparaison du BER m-QAM



queue_musicLA MODULATION DELTA ( Δ ) et DELTA-ADAPTIVE ( Δ-A ) queue_music


La modulation Delta fait partie de la famille des modulations numériques différentielles. Le modulateur transmet un bit par différence entre deux échantillons consécutifs.

7- Schéma bloc du modulateur :
schéma bloc du modulateur delta

7.1 Opération :
  • Le modulateur compare les deux échantillons consécutifs V*k et V*k-1 ;
  • Si V*k > V*k-1 alors un bit niveau haut ou bk = 1 est transmit si non le modulateur transmet un bit niveau bas ou bk = 0.
7.1.1 Exemple Soit l’ensemble des échantillons V*k = {0.25,0.5,0.5,0.25,0.75,0.25,0.5} à l'entrée d'un modulateur Δ. Trouvez les bits à sa sortie.
La sortie bk du comparateur est donnée par la deuxième colonne du tableau ci-dessous. Notez qu’il y a un délai d’un temps bit tb entre la sortie du comparateur est l’arrivée de la valeur du premier échantillon V*1 = 0.25 V.
exemple modulateur delta

8- Démodulateur Δ : La figure suivante nous montre le fonctionnement du démodulateur.
schéma bloc du démodulateur delta

Le démodulateur Delta Δ est très simple et baser sur l’algorithme suivant :
8.1 Opération :
  • Si bk = 1 alors la sortie Vo augmente d'une valeur prédeterminée +Δ
  • Si bk = 0 alors la sortie Vo diminue de -Δ .
La valeur Δ est aussi nommée le pas de reconstitution.
8.1.1 Exemple On suppose bk = {1,0,0,1,0,1} est à l’entrée d’un démodulateur Δ ayant un pas de reconstitution égal à 25 mV. Tracez sa sortie Vo(t).
exemple du démodulateur delta

9- Démodulateur Δ Adaptive ou Δ-A :
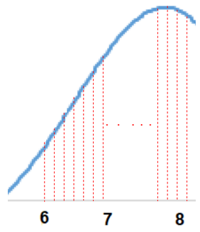
On suppose un signal audio qui varie rapidement dans une courte période de temps. Ce type de signal est illustré par la figure ci-dessous :
saturation de la pente

La tension du signal est passée de 100 mV à t = 6 sec à 350 mV à t = 8 sec. Un taux de variation très élevé de 125 mV/sec vis-à-vis le taux de variation au tout début entre t = 1 sec et t = 5 sec où le signal variait entre -50 mV et +50 mV. On retrouve la même problématique entre 8 et 9 sec avec cette fois ci un taux de variation estimé à 350 mV/sec.
À fin de palier à cette situation la vitesse d’échantillonnage de ce signal doit augmenter pour que le récepteur puisse suivre les variations soudaines du signal audio. Cette situation est illustrée par la figure suivante.
vitesse de l'échantillonneur

En plus le récepteur doit pouvoir varier son pas de reconstitution selon l’algorithme suivant :
algorithme cvsd ou delta adaptive

Cette technique de démodulation permet de suivre le changement soudain du taux de variation du signal audio à l’entrée du démodulateur qui est nommé Δ-A ou Delta-Adaptif en anglais CVSD : ‘Continuously Variable Slope Detection’.
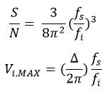
Les relations qui déterminent le pas de reconstitution Δ en fonction du rapport fs / fi sont données par les équations suivantes.
équations du cvsd ou delta adaptive

9.1 Exemple 1
Déterminer la valeur du rapport fs / fi si le rapport S/N = 80 dB. Déterminez Δ si on prévoit un Vi,MAX = 200 mV.
S/N = 80 dB à base 10 le S/N = 108 donc : 108 x 80 /3 = 2.632x109 alors (fs / fi) = 1381.
La valeur du pas de reconstitution est Δ = 0.2x6.28 / 1381 = 0.91 mV.
9.1 Exemple 2
Tracez la sortie d'un démodulateur CVSD si à son entrée on a les bits bk = {1,0,1,1,1,0,0} . On considère un pas de reconstitution égal à 10 mV.
exemple du cvsd ou delta adaptive